- 静岡労働局 >
- ニュース&トピックス >
- ハローワークからのお知らせ >
- ハローワーク焼津 >
- 新規学校卒業者の求人申込みについて
新規学校卒業者の求人申込みについて
1.令和8年度 新規高等学校卒業者の求人活動のルールや
求人申込手続きについて
新規高等学校卒業者(令和9年3月卒業予定)の採用に関しては、公正な求人活動を行っていただく
ため、静岡県高等学校就職問題検討会議の申し合わせにより、「求人活動のルール」等が
決められています。
まずは、冊子「2027年(令和9年)3月新規学校卒業者のための学卒求人のしおり」(14,034KB)
の他、以下の点にご留意いただき、求人活動を行ってください。
※令和9年3月新規学校卒業者のための学卒求人のしおりは、5月下旬頃掲載予定
【令和8年度 高等学校等卒業予定者の求人活動日程】

令和8年度静岡県高等学校卒業予定者の就職に関する申し合わせ[PDF]
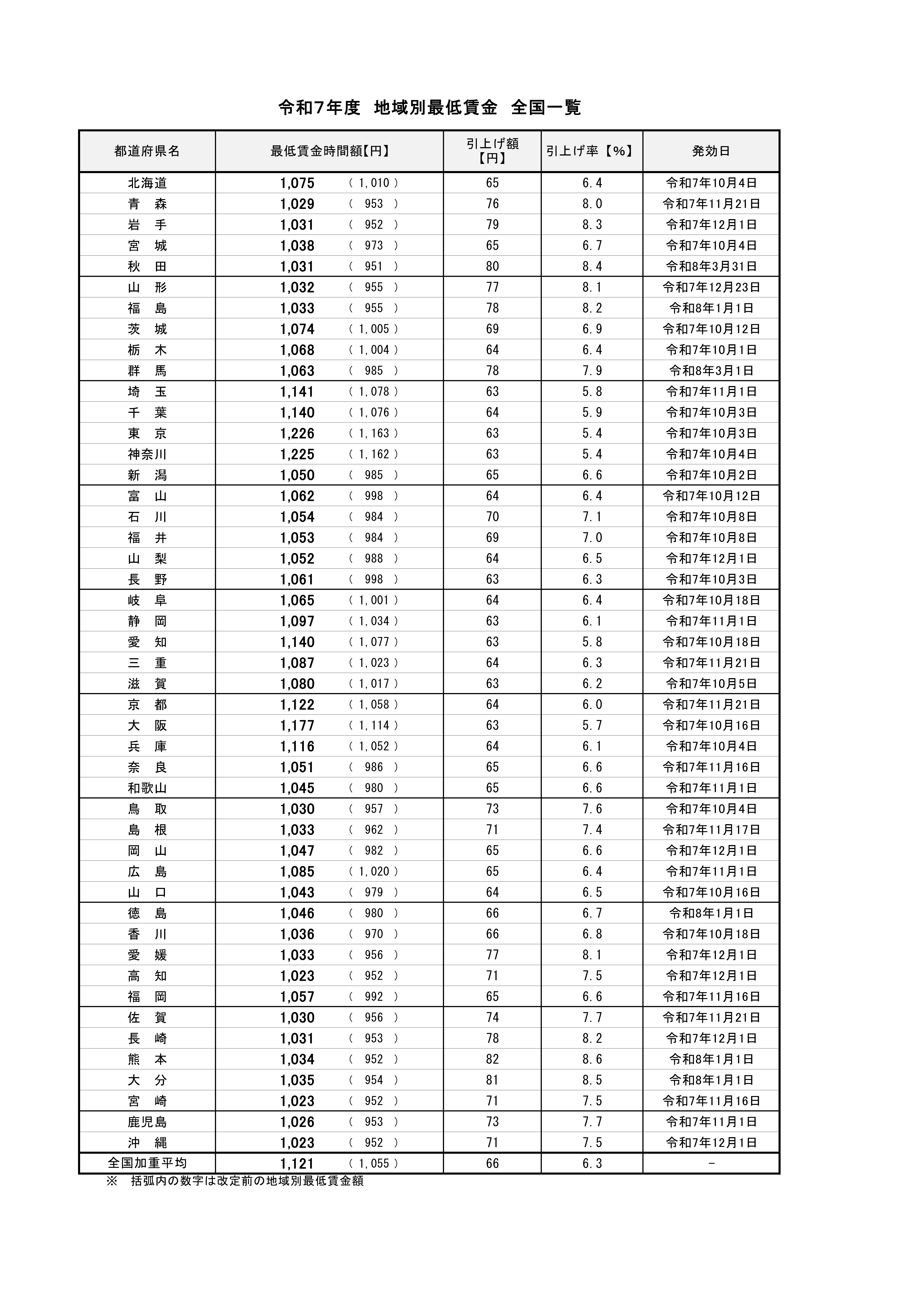
令和7年11月1日から静岡県の最低賃金が改定されました

規模別、産業別、職種別の「学卒初任給情報」は、こちら をご覧ください。
※例年6月上旬頃発表(静岡労働局サイト)
令和8年度 企業と高等学校の情報交換会について
令和8年5月28日(木) 藤枝市生涯学習センター 13:30~16:30 (完全予約制)
申込受付は終了いたしました。
たくさんのお申込ありがとうございました。
①学卒求人説明動画
令和8年度における高卒求人の申込み方法及びスケジュール等について説明しております。
なお、内容につきましては静岡県共通となりますのでご注意ください。
学卒求人説明会の動画はこちら(静岡労働局公式YouTubeチャンネル)からご覧いただけます。

高等学校卒業者を含めた新規学卒者全体に係る採用ルールについては、こちらをご覧ください。
3. 各種様式
<学卒求人活動のルールと求人申込手続きについて>
学卒求人活動のルールと求人申込手続きについて 7月1日までに求人票返戻希望の場合は、6月15日までにご提出ください 詳しくは、右記PDFをご覧ください ※【重要】ハローワーク焼津の取扱い |
|
\NEW/令和9年3月新規学校卒業者のための学卒求人のしおり ※【重要】求人活動のルール等を掲載 |
|
\NEW/静岡県中部地区の令和8年3月卒 学卒初任給情報 東部地区・西部地区の初任給情報は、コチラ |
|
| 求人情報入力(高卒)のポイント 若者の募集・採用等に関する指針 |
|
\NEW/焼津所管内の高等学校への訪問について |
|
マイページから求人票を転用して高卒求人を提出する場合 の操作方法 |
|
応募前職場見学実施予定表<Excel> |
エクセル |
推薦依頼高校一覧 < Excel > 静岡県内高等学校等一覧 推薦依頼高校一覧の送付先 |
エクセル |
指定校求人から公開求人に変更する場合 (9/16以降~) |
高卒用求人充足連絡票・高卒用求人変更(指定校→公開)希望連絡票[PDF] [Word]
高等全国の高校及び学科別就職者数・卒業予定者数は、高卒就職情報WEB提供サービスから閲覧できます。
4. 公正採用選考について
※選考を行う際に、ご活用ください
公正採用選考に関する各種情報 →→→(厚生労働省・特設サイト)
公正採用選考をめざして(パンフレット・事業所用) |
|
サイト・選考に配慮すべき事項 |
URL |
リーフレット「その質問・・・「面接」で必要?」 |
①新規大学等卒業者の採用ルールについて
新規大学等卒業者募集採用活動スケジュール[PDF]
2027年3月の大学等卒業予定者を対象とした求人の申込み方法[PDF]
●令和8年度(2027年3月)新規大卒等卒業者を対象とした大卒等求人申込みの詳細については、こちら
(左記より学卒求人のしおりに掲載している各種様式のダウンロードが可能)をご覧ください。
●新規大学等卒業者を含めた新規学卒者全体に係る採用ルールについては、こちらをご覧ください。
②各種様式
求人申込書(大卒)【Excel】
【参考:求人者向け】
求人申込書(大卒)の書き方のポイント[PDF]
求人情報(大卒)の入力のポイント[PDF]
【参考:学生等向け】
「求人票(大卒)の見方のポイント」[PDF]
6.中卒求人
中卒求人は、マイページから申込みができません。
令和9年3月卒業者を対象とした中卒求人は、ハローワーク焼津学卒担当までその旨、ご連絡ください。
中卒求人票の様式データをお送りします。
この記事に関するお問い合わせ
ハローワーク焼津 学卒担当
〒425-0028
焼津市駅北1-6-22
TEL:054-628-5155(31#)
※自動音声案内となります。詳細はこちらをご覧ください。












